1
Stepbystep solutions for differential equations separable equations, Bernoulli equations, general firstorder equations, EulerCauchy equations, higherorder equations, firstorder linear equations, firstorder substitutions, secondorder constantcoefficient linear equations, firstorder exact equations, Chinitype equations, reduction of order, general secondorder equations The problem should be stated like this Define x ~ y if cos^2 (x) sin^2 (y) = 1 Show that ~ is an equivalence relation Now, write down exactly what is meant by reflexivity, transitivity, and transitivity in terms of ~ This will get you on the right track regarding what you need to prove
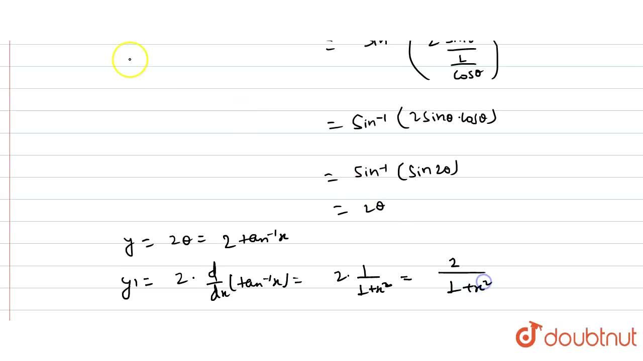
If y=sin^(-1)((2x)/(1+x^(2))) then which of the following is false
If y=sin^(-1)((2x)/(1+x^(2))) then which of the following is false- Transcript Ex 53, 14 Find 𝑑𝑦/𝑑𝑥 in, y = sin–1 (2𝑥 √ (1−𝑥^2 )) , − 1/√2 < x < 1/√2 y = sin–1 (2𝑥 √ (1−𝑥^2 )) Putting 𝑥 =𝑠𝑖𝑛𝜃 𝑦 = sin–1 (2 sin𝜃 √ (1−〖𝑠𝑖𝑛〗^2 𝜃)) 𝑦 = sin–1 ( 2 sin θ √ (〖𝑐𝑜𝑠〗^2 𝜃)) 𝑦 ="sin–1 " (〖"2 sin θ" 〗cos𝜃 ) 𝑦 = sin–1 (sin〖2 𝜃)〗 𝑦 = 2θ Putting value of θ = sin−1 x 𝑦 = 2 〖𝑠𝑖𝑛〗^ (−1) 𝑥 Since x = sinLet y = sec − 1 (1 x 2 2 x ) sin − 1 (x 1 x − 1 ) Put x = tan θ, we get 1 x 2 2 x = 1 t a n 2 θ 2 t a n θ = sin 2 θ Since, − 1 ≤ sin θ ≤ 1 ∴ − 1 ≤ 1 x 2 2 x ≤ 1 ⇒ sec − 1 (1 x 2 2 x ) is defined only at x = 1, − 1 ∴ d x d y does not exist
Ex 2 2 13 Inverse Trigonometry Tan 1 2 Sin 1 2x 1 X2
Function y = sin^1 (2x/ (1 x^2)) is not differentiable for (A) x < 1 (B) x = 1, 1 x > 1 ← Prev Question Next Question → 0 votes 192k views asked in Limit, continuity and differentiability by Vikky01 (419k points) Function y = sin1(2x/ (1 x2)) is not differentiable for (A) x < 1If y = ( log cos x sin x )( lognx cos x) sin1 (2x/1x2) , then (dy/dx) at x = (π/2) is equal to (A) (8/(4 π2)) (B) 0 (8/(4 π2)) (D) 1Calculus questions and answers y = sin 2x, 0≤x≤ π/2 y = 1 = cos x, 0≤x≤ T y = 8 cos x, y = x² 32 x² 4 27 y = cos x, 28 y = cos x, 29 y = sec²x, 30 y = x² 3x², 32 y = x², y = π/3 ≤ x ≤ π/3 31 y = x, y = 2 = x TTX 33 y = sin y = x³ 2 y = sin 2x, 0≤x≤ π/2 y = 1 = cos x, 0≤x≤ T
The General Equation for Sine and Cosine;Graphing y=cos(theta) Graphing y=tan(theta) Period of the Sine and Cosine Graphs;Free PreAlgebra, Algebra, Trigonometry, Calculus, Geometry, Statistics and Chemistry calculators stepbystep
If y=sin^(-1)((2x)/(1+x^(2))) then which of the following is falseのギャラリー
各画像をクリックすると、ダウンロードまたは拡大表示できます
![]() | ![]() | |
![]() | ![]() | |
![]() | ||
「If y=sin^(-1)((2x)/(1+x^(2))) then which of the following is false」の画像ギャラリー、詳細は各画像をクリックしてください。
![]() | ![]() | ![]() |
![]() | ![]() | ![]() |
![]() | ![]() | ![]() |
「If y=sin^(-1)((2x)/(1+x^(2))) then which of the following is false」の画像ギャラリー、詳細は各画像をクリックしてください。
![]() | ||
![]() | ![]() | |
![]() | ![]() | |
「If y=sin^(-1)((2x)/(1+x^(2))) then which of the following is false」の画像ギャラリー、詳細は各画像をクリックしてください。
![]() | ![]() | |
![]() | ||
![]() | ![]() | ![]() |
「If y=sin^(-1)((2x)/(1+x^(2))) then which of the following is false」の画像ギャラリー、詳細は各画像をクリックしてください。
![]() | ||
![]() | ![]() | |
![]() | ![]() | |
「If y=sin^(-1)((2x)/(1+x^(2))) then which of the following is false」の画像ギャラリー、詳細は各画像をクリックしてください。
![]() | ||
![]() | ![]() | |
「If y=sin^(-1)((2x)/(1+x^(2))) then which of the following is false」の画像ギャラリー、詳細は各画像をクリックしてください。
![]() | ![]() | ![]() |
![]() | ![]() | |
![]() | ||
「If y=sin^(-1)((2x)/(1+x^(2))) then which of the following is false」の画像ギャラリー、詳細は各画像をクリックしてください。
![]() | ||
![]() | ||
![]() | ![]() | |
「If y=sin^(-1)((2x)/(1+x^(2))) then which of the following is false」の画像ギャラリー、詳細は各画像をクリックしてください。
![]() | ![]() | ![]() |
![]() | ![]() | ![]() |
![]() | ![]() | |
「If y=sin^(-1)((2x)/(1+x^(2))) then which of the following is false」の画像ギャラリー、詳細は各画像をクリックしてください。
![]() | ![]() | ![]() |
![]() | ![]() | |
![]() | ![]() | |
「If y=sin^(-1)((2x)/(1+x^(2))) then which of the following is false」の画像ギャラリー、詳細は各画像をクリックしてください。
![]() | ![]() | |
![]() | ![]() | |
![]() | ||
「If y=sin^(-1)((2x)/(1+x^(2))) then which of the following is false」の画像ギャラリー、詳細は各画像をクリックしてください。
![]() |
Extended Keyboard Examples Upload Random Compute answers using Wolfram's breakthrough technology & knowledgebase, relied on by millions of students & professionals For math, science, nutrition, history, geography, engineering, mathematics, linguistics, sports, finance, musicThe General Equation for Sine and Cosine Amplitude;
Incoming Term: y=sin^-1(2x/1+x^2), if y=sin^-1(2x/1+x^2) find dy/dx, function y=sin^(-1)((2x)/(1+x^(2))) is not differentiable for, y=sin^-1(2x root 1-x^2), if y=sin^(-1)(2x)/(1+x^(2)) then (dy)/(dx) is, if y=sin^(-1)((2x)/(1+x^(2))) then which of the following is false, if y=2tan^(-1x+sin^(-1)(2x)/(1+x^(2)) then, y=sin^-1(2x/1+x^2)+sec^-1(1+x^2/1-x^2), y=(sin^(2x)/(1+cot x)+(cos^(2x)/(1+tan x), if y=2tan^(-1x+sin^(-1)((2x)/(1+x^(2))) for all x then,


































































0 件のコメント:
コメントを投稿