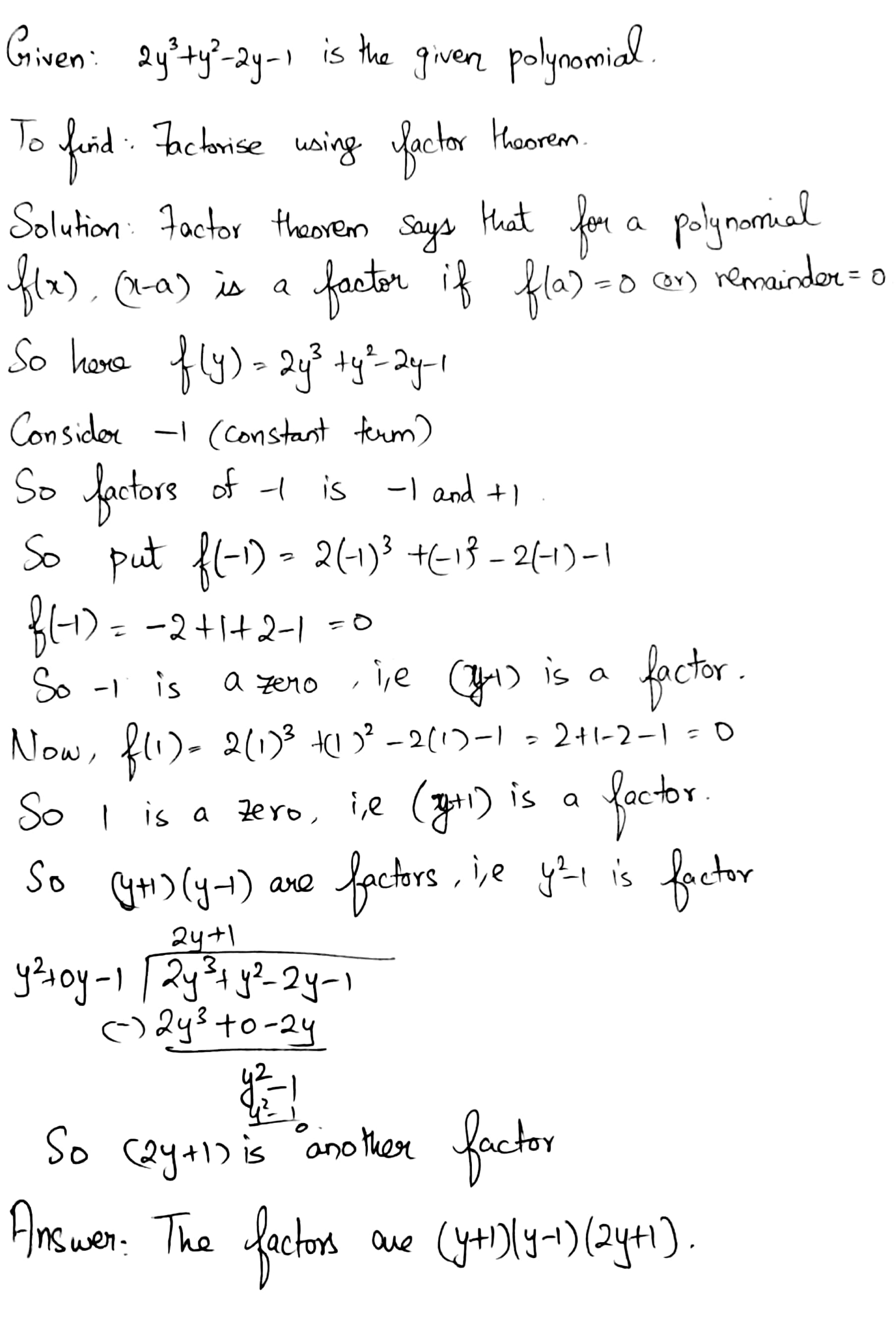
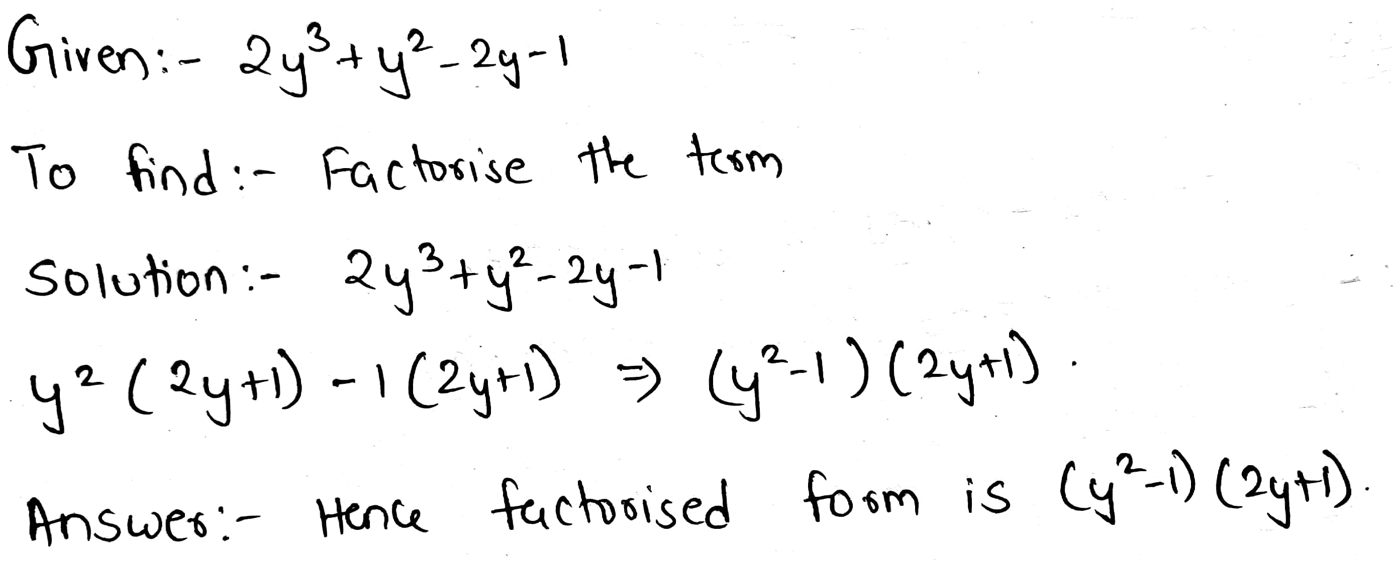
5 Factorise Iv 2y 3 Y 2 2y 1 Snapsolve
NCERT Solutions NCERT Solutions For Class 12 NCERT Solutions Class 12 Accountancy Part 1;Answer (1 of 10) x^2y^22y1 =x^2(y^22y1) =x^2(y^22•y•11^2) =x^2(y1)^2 =x(y1)x(y1) =xy1xy1
X^2-y^2-2y-1 factorise
X^2-y^2-2y-1 factorise-In this video, we will learn how to factorize x^2y^2 in a very easy wayFactorization of a^2b^2 can be done in the same wayJoLeave an answer Leave an answer Cancel reply Visual Text
Factorise I X3 2x2 X 2 Ii X3 3x2 9x 5 Iii X3 13x2 32x Iv 2y3 Y2 2y 1 Maths Topperlearning Com 8kyk3pll
Suvankar Chakraborty T Added an answer on at 944 pm Solution Given, x 4 – 10x 2 y 2Factorise completely x^2 – y^2 – 2x 2y ← Prev Question Next Question → 0 votes 49 views asked in Mathematics by AnjaliVarma (293k points) Factorise completely x 2 – y 2 – 2x 2y factorisation; Factorise completely (a) x 4 – 16 (b) (x 2y) 4 – 1 (c) x 8 – 1 (d) (7a – 6b) 2 – 16y 2 (e) 49x 2 – 1/144 (f) 49 (x y) 2 – 64 (x – y) 2 (g) 24a 2 – 54b 2 CBSE Class 8 Maths Ex 71 Factorisation Learning Maths Class 8
X^2y^22y1 please factorise this ASAP Get the answers you need, now!Find the area of the trapezoidal region bounded by the inequalities #y 2x = 1 3y x > 2 2y x 7 2y x >= 2 # 61 A car which accelerates uniformly from rest attains a velocity of 30 m/s after 15 seconds It travels at a constant velocity for the next 30 seconds before decelerating to stop after another 10 secondsX2 − (y2 −2y 1) x 2 ( y 2 2 y 1) Factor using the perfect square rule Tap for more steps x2 − (y−1)2 x 2 ( y 1) 2 Since both terms are perfect squares, factor using the difference of squares formula, a2 −b2 = (ab)(a−b) a 2 b 2 = ( a b) ( a b) where a = x a = x and b = y− 1 b = y 1
X^2-y^2-2y-1 factoriseのギャラリー
各画像をクリックすると、ダウンロードまたは拡大表示できます
![]() | ![]() | |
![]() | ![]() | ![]() |
![]() | ![]() | ![]() |
「X^2-y^2-2y-1 factorise」の画像ギャラリー、詳細は各画像をクリックしてください。
![]() | ![]() | ![]() |
![]() | ![]() | |
![]() | ||
「X^2-y^2-2y-1 factorise」の画像ギャラリー、詳細は各画像をクリックしてください。
![]() | ![]() | ![]() |
![]() | ![]() | |
![]() | ![]() | |
「X^2-y^2-2y-1 factorise」の画像ギャラリー、詳細は各画像をクリックしてください。
![]() | ![]() | |
![]() | ![]() | |
![]() | ![]() | ![]() |
「X^2-y^2-2y-1 factorise」の画像ギャラリー、詳細は各画像をクリックしてください。
![]() | ||
![]() | ![]() | ![]() |
![]() | ![]() | |
「X^2-y^2-2y-1 factorise」の画像ギャラリー、詳細は各画像をクリックしてください。
![]() | ![]() | ![]() |
![]() | ![]() | ![]() |
![]() | ![]() | |
「X^2-y^2-2y-1 factorise」の画像ギャラリー、詳細は各画像をクリックしてください。
![]() | ![]() | |
![]() | ![]() | |
![]() | ||
「X^2-y^2-2y-1 factorise」の画像ギャラリー、詳細は各画像をクリックしてください。
![]() | ![]() | |
![]() | ![]() | ![]() |
![]() | ||
「X^2-y^2-2y-1 factorise」の画像ギャラリー、詳細は各画像をクリックしてください。
![]() | ![]() | |
![]() | ![]() | |
![]() | ![]() | ![]() |
「X^2-y^2-2y-1 factorise」の画像ギャラリー、詳細は各画像をクリックしてください。
![]() | ![]() | |
![]() | ![]() | |
![]() | ||
「X^2-y^2-2y-1 factorise」の画像ギャラリー、詳細は各画像をクリックしてください。
![]() | ![]() | |
![]() | ![]() | |
![]() |
Suvankar Chakraborty T Added an answer on JuneSolve your math problems using our free math solver with stepbystep solutions Our math solver supports basic math, prealgebra, algebra, trigonometry, calculus and more
Incoming Term: x^2-y^2-2y-1 factorise,







































































0 件のコメント:
コメントを投稿